数学公式图片OCR API
小艾同学 ... 大约 2 分钟
# 数学公式图片OCR API
# 简介
用户需要先注册登录,然后才能正常使用。注意使用的时候需要带 token。
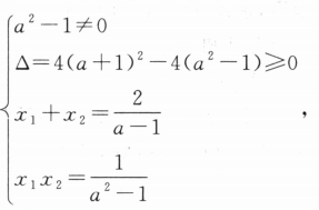
# 示例图片











# error 出错公式


# 接口/路由/入口
- 接口名称:数学公式图片OCR
- 接口地址:https://www.docpartner-serve.com/python/bpInterfaceLatexOcrOnly
- 请求方式:POST
- 响应类型:JSON(同步)
- content-type:application/json
# 输入说明
{
"requestData": {
"reqImgData": "asdfasf", // base64 图片base64 数据 不需要 data 开头
}
}
1
2
3
4
5
2
3
4
5
# 输出说明
{
"isSuccessful": True,
"errorMsg" : "",
"data" : {
"respData":{
"latex":str
"scores":float
}
}
}
1
2
3
4
5
6
7
8
9
10
2
3
4
5
6
7
8
9
10
# 程序示例
# js 示例
// 基于 axios
import axios from "axios"
let token = "TODO" // TODO
let bpInterfaceLatexOcrOnly = "/bpInterfaceLatexOcrOnly"
let requestJsonData = {
requestData: {
reqImgData: "TODO", // base64 字符串
}
}
axios.post(
bpInterfaceLatexOcrOnly,
requestJsonData,
{
baseURL: 'https://www.docpartner-serve.com/python/', // TODO
headers: {
"Authorization":`Bearer ${token}`,
"Content-Type":"application/json;charset=utf-8",
},
responseType: 'json'
}
)
.then(resp => {
if (resp.data.isSuccessful) {
console.log(resp.data.data)
} else {
console.log(`请求api失败!${resp.data.errorMsg}`);
}
})
.catch(err => {
console.log(err)
})
1
2
3
4
5
6
7
8
9
10
11
12
13
14
15
16
17
18
19
20
21
22
23
24
25
26
27
28
29
30
31
32
33
34
35
36
37
2
3
4
5
6
7
8
9
10
11
12
13
14
15
16
17
18
19
20
21
22
23
24
25
26
27
28
29
30
31
32
33
34
35
36
37
# python 示例
# 基于 requests - 已测试
import os
import base64
import requests
token = "" # TODO
bp = "bpInterfaceLatexOcrOnly"
url = "https://www.docpartner-serve.com/python/{bp}".format(
bp=bp
) # 接口地址
imgPath = "test.png" # TODO
with open(imgPath, "rb") as f:
imgDataStr = base64.b64encode(f.read()) # --> b''
imgDataBase64 = imgDataStr.decode() # --> str 图片 base64 编码成字符串
jsondata = {
"requestData": {
"reqImgData": imgDataBase64,
}
}
headers = {
'Authorization': "Bearer " + token
}
r = requests.post(url,headers=headers,data=None,json=jsondata)
assert type(r.json()) == dict
print(type(r.json()))
print(r.json())
# {'data': {'respData': {'latex': '\\left\\{ \\begin{array} { l } { a ^ { 2 } - 1 \\not = 0 } \\\\ { \\Delta = 4 ( a + 1 ) ^ { 2 } - 4 ( a ^ { 2 } - 1 ) \\geqslant 0 } \\\\ { x _ { 1 } + x _ { 2 } = \\frac { 2 } { a - 1 } } \\\\ { x _ { 1 } x _ { 2 } = \\frac { 1 } { a ^ { 2 } - 1 } } \\\\ \\end{array} \\right. ,', 'scores': 0.6}}, 'errorMsg': '', 'isSuccessful': True}
1
2
3
4
5
6
7
8
9
10
11
12
13
14
15
16
17
18
19
20
21
22
23
24
25
26
27
28
29
30
31
32
33
34
35
36
2
3
4
5
6
7
8
9
10
11
12
13
14
15
16
17
18
19
20
21
22
23
24
25
26
27
28
29
30
31
32
33
34
35
36